Ricker model

Nが個体数、rが増殖率、Kが環境収容力

Code
# 環境収容力を1とした
logistic = \(Nt,r) r*(1-Nt/1)
ricker = \(Nt,r) exp( r*(1-Nt/1) )

df = data.frame(
    Nt = seq(0.5,1.5,0.01),
    r = seq(0.5,1.5,0.01),
    logistic = NA,
    ricker = NA
)
for(i in 1:nrow(df)){
    nt = df$Nt[i]
    r = df$r[i]
    df[i,"logistic"] = logistic(nt, r)
    df[i,"ricker"] = ricker(nt, r)
}
Code
xlim = range(df$Nt)
ylim = range(df[,3:4])
xlab = "Nt"
ylab = "Growth rate"

par(mar = c(4, 4, 0, 0)) 
plot(df$Nt, df[,"logistic"], type="l", 
     xlim=xlim, ylim=ylim,
     xlab=xlab, ylab=ylab)
par(new=TRUE)
plot(df$Nt, df[,"ricker"], type="l", 
     xlim=xlim, ylim=ylim,
     xlab=xlab, ylab=ylab)
abline(h=0, lty=2, col="red")

text(1.3, df[nrow(df),c("logistic")], "Logistic", cex=1)
text(1.3, df[nrow(df),c("ricker")], "Ricker", cex=1)

Code
par(
    mfrow =c (3,1),
    mar = c(2,4,4,0)
)

for(r in c(0.1, 1.6, 3.5)){

    nt = 0.5
    for(t in 1:100) nt = c(ricker(nt[1], r), nt)
    plot(nt, type='l', xlab="")
    title(paste("r =", r))
}
Code
state = c()
for(r in seq(-4, 4, 0.2)){
    nt = 0.5
    for(t in 1:100) nt = ricker(nt, r)
    state = c(state, nt)
}

plot(seq(-4, 4, 0.2), state, xlab="r")

Growth rateを変えたときの挙動

Figure 1: Growth rateを変えたときの100時間点目のNt

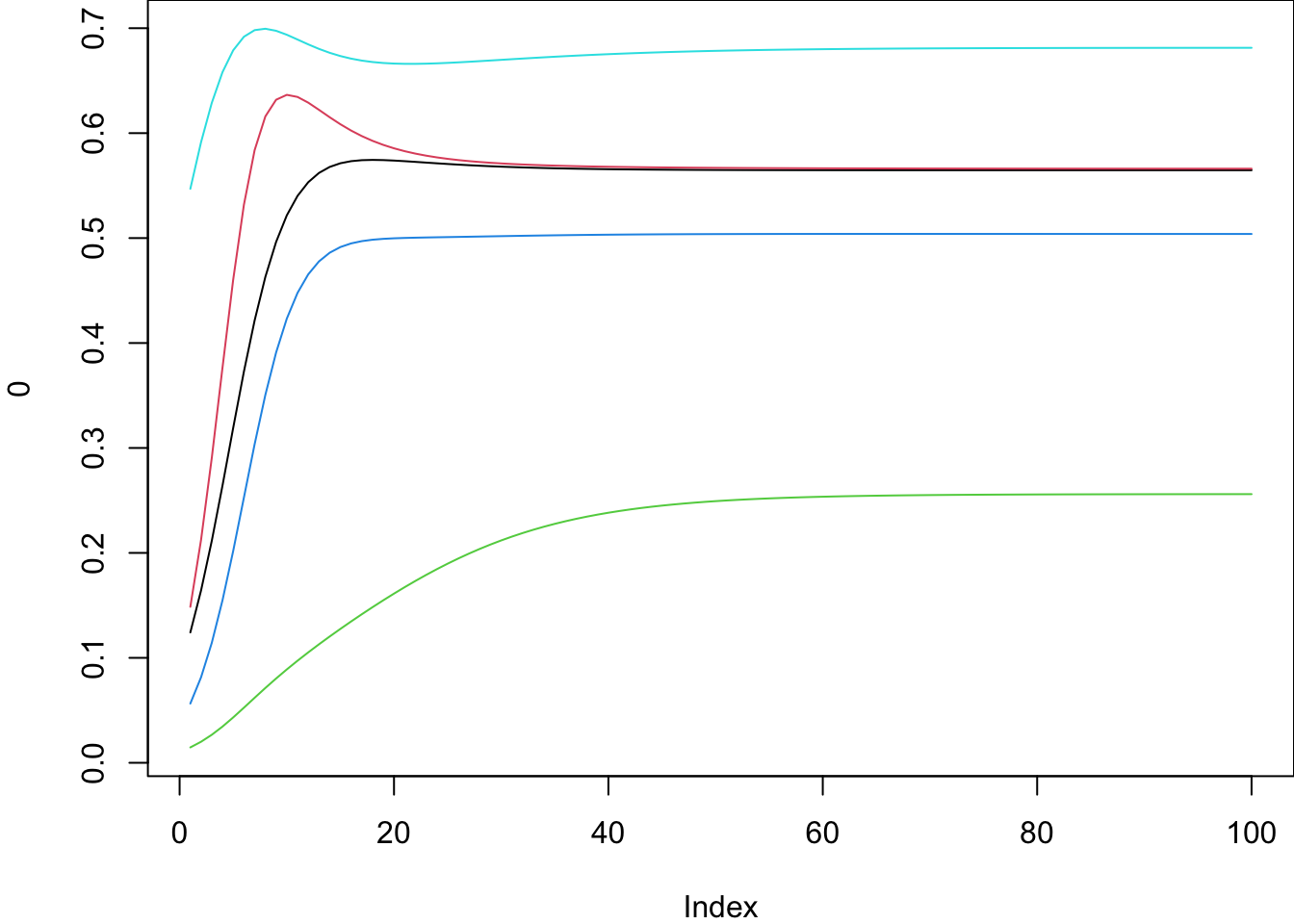
Multi-species Ricker model

\[ N_{i}(t+1) = \exp[r_i(1+e_iAN(t))]N_i(t) \] Nが個体数、rが増殖率、Kが環境収容力、M が相互作用行列、eが標準基底ベクトル(i番目=1、それ以外は0:i種が受ける影響をスカラーに直すためのもの)1.

Code
set.seed(250721)

ms_ricker = \(N, r, A) exp( r*(1+A%*%N) ) * N

times = 100
sp = 10

# -- generate dynamics
N0 = as.integer( runif(sp, 1, 10) )
r = runif(sp, 0.2,0.5)

A = matrix(rnorm(sp*sp, mean=-0.2,sd=0.1), nrow=sp, ncol=sp)
A[which(abs(A)>0.25)] = 0
diag(A) = -1

mat = matrix(0, nrow=times, ncol=sp)
N = N0
for(i in 1:times) {N = ms_ricker(N, r, A); mat[i,]=N}
par(mar = c(4, 4, 0, 0)) 
plot(0, type="n", ylim=range(mat), xlim=c(1,times))
for(i in 1:5)lines(mat[,i], col=i)

Footnotes

  1. Change et al., 2021, Ecol. lett.↩︎